Kalian telah mempelajari penjumlahan, pengurangan, perkalian, dan perpangkatan pada bentuk aljabar. Sekarang kalian akan mempelajari pembagian pada bentuk aljabar.
Telah kalian pelajari bahwa jika suatu bilangan a dapat diubah menjadi a = p x q dengan a, p, q bilangan bulat maka p dan q disebut faktor-faktor dari a. Hal tersebut berlaku pula pada bentuk aljabar.
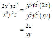
Perhatikan uraian berikut:

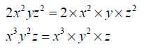
Pada bentuk aljabar di atas, 2, x2, y, dan z2 adalah faktor-faktor dari 2x2yz2, sedangkan x3, y2, dan z adalah faktor-faktor dari bentuk aljabar x3y2z. Faktor sekutu (faktor yang sama) dari 2x2yz2 dan x3y2z adalah x2, y, dan z, sehingga diperoleh

Berdasarkan uraian di atas dapat kita simpulkan bahwa jika dua bentuk aljabar memiliki faktor sekutu yang sama maka hasil bagi kedua bentuk aljabar tersebut dapat ditulis dalam bentuk yang lebih sederhana. Dengan demikian, pada operasi pembagian bentuk aljabar kalian harus menentukan terlebih dahulu faktor sekutu kedua bentuk aljabar tersebut, kemudian baru dilakukan pembagian.
Kamis, 03 Februari 2011
Pembagian Aljabar
Blog Archive
-
▼
2011
(109)
-
▼
Februari
(16)
- Perang Dunia II
- India 250 Tahun Mendahului “Penemuan” Newton
- Efek Doppler
- Menghubungkan Facebook dengan Website
- Sifat dan Wujudnya
- 7 Insiden UFO Terkenal
- Menghubungkan Facebook Dan Twitter
- Elektromagnetik Sederhana
- Besaran
- Seminar Fisika 2011
- Biografi Kim Jong il
- Biografi Saddam Husein
- Biografi Presiden Soeharto
- Bagian Perasa Lidah
- Mekanika Klasik
- Pembagian Aljabar
-
▼
Februari
(16)
Visitors
Tahukah kamu dimasa depan nanti kita akan berteman dengan robot berupa manusia yang disebut ROBOT HUMONOID. Asimo adalah salah satu contoh robot humonoid yang sedang dikembangkan saat ini. Apalagi banyak film sains fiksi tentang pertemanan robot dengan manusia. Mau tahu bagaimana robot-robot itu bekerja...
Yohanes Surya lahir di Jakarta pada tanggal 6 November 1963. Ia mulai memperdalam fisika pada jurusan Fisika MIPA Universitas Indonesia hingga tahun 1986, mengajar di SMAK I Penabur Jakarta hingga tahun 1988 dan selanjutnya menempuh program master dan doktornya di...
"Matematika menjadi mudah dan menyenangkan"
keynote speaker - Prof. Yohanse Surya, Ph.D - Surya Instute
"Perkembangan teknologi informasi dalam dunia pendidikan"
Sutanto Hartono - Presiden Direktur Microsoft Indonesia
Hari Jumat, 29 April 2011
Pukul: 13.00-17.00 WIB
Bertempat di:
Gedung Balai Kartini - Mawar Conference Room
Jl. Jendal Gatot Subroto Kav 37 , Jakarta 12950
Perkembangan IPTEK membawa manfaat dan berbagai kemudahan dalam kehidupan manusia. Kemajuan IPTEK tersebut tentunya didukung oleh kemajuan ilmu-ilmu dasar, misalnya Matematika, Kimia, Matematika, Biologi, Astronomi, dan Fisika. Dalam hal ini, Fisika sebagai salah satu ilmu dasar, menyumbangkan konsep, prinsip, dan...






0 komentar:
Posting Komentar